和蘭
株式会社 和蘭 〒607‐22 京都市山科区川田清水焼団地町8‐2 電話:075‐591‐2455 営業時間:900〜1700 定休日:土日祝.
和蘭. 株式会社 和蘭 〒607‐22 京都市山科区川田清水焼団地町8‐2 電話:075‐591‐2455 営業時間:900〜1700 定休日:土日祝. WARAN™ is a new type of orchid that combines neat and aesthetic figures of traditional Eastern Cymbidium, and gorgeousness of Eastern/SouthEastern Asia Cymbidium We feel an aesthetic sense in Japanese art emphasising quiet simplicity and subdued refinement, and calm in the radical figure. 和蘭の最新情報を投稿してください。 情報を追加・修正する あなたが知っているお店の定休日・営業時間等の基本情報、席数、個室情報等の設備・サービスの お役立ち情報など、お店の最新情報の投稿をお待ちしています。.
和蘭豆 蒲田駅前店/ランズ (蒲田/コーヒー専門店)の店舗情報は食べログでチェック! 分煙口コミや評価、写真など、ユーザーによるリアルな情報が満載です!地図や料理メニューなどの詳細情報も充実。. 司馬江漢著 『和蘭天説』 寛政8 (1796)年 司馬江漢 〔峻 ()〕 は江戸時代後期に活躍した洋画家、 思想家。 蘭学者平賀源内や大槻玄沢らと交わって洋画及び西洋理科学に対する関心を深め、 寛政4年 (1792) には日本最初の 『銅版地球全図』 を刊行している。. 和蘭の品種紹介ページが見やすくなりました! 和蘭紹介ページはこちら 17/1/11 あけましておめでとうございます 年末の洋蘭フェアには連日多くのお客様にお越しいただきまして、 ありがとうございました。.
和蘭:雛祭り(ひなまつり)2本立ち45号鉢植え鉢花 ガーデニング・園芸用品の販売サイト。花 野菜 ハーブ バラ 果樹の種苗、鉢やテラコッタ、道具、肥料と土などの通販。豊富な品揃え。栽培ガイド等. 楽天市場しんびすとのらん屋さんの育てる蘭 > シンビジューム > 和蘭一覧。楽天市場は、セール商品や送料無料商品など取扱商品数が日本最大級のインターネット通販サイト. 珈琲屋 和蘭館 32 likes · 1 talking about this · 7 were here 香り高い珈琲と、ゆったりと流れる時間を過ごしにいらしてください。スタッフの笑顔と、どこか懐かしい安定したお食事メニューも大変好評をいただいています。.
当Webサイトで公開している画像・翻字本文は クリエイティブ・コモンズ 表示 非営利 40 国際 ライセンスの下に提供されています。 営利目的で利用する際には,「国立国語研究所研究図書室資料特別利用規程」に基づいて特別利用の申請をしてください。. 和蘭*シンビジューム交配種 4号苗 現品 商品詳細 4号ポット入りの和蘭です。 安定が悪いので5号の白いプラ鉢に入れてありますがポット苗です。 和蘭はシンビデューム交配種の一分野に入りますが、どのような交配種が和蘭であるか定かではありません。. ラン(蘭)の育て方植え替えの時期や方法は? 18年10月24日 HORTI 〜ホルティ〜 by GreenSnap 上級者向けの希少種から初心者向けの強健種まで、多種多様な形態をもつことで知られている蘭の世界。.
和蘭の品種紹介ページが見やすくなりました! 和蘭紹介ページはこちら 17/1/11 あけましておめでとうございます 年末の洋蘭フェアには連日多くのお客様にお越しいただきまして、 ありがとうございました。. 漢字表記は、和蘭、和蘭陀、阿蘭陀、荷蘭陀 、荷蘭、尼徳蘭(ネーデルラントの音訳)と表記され、蘭と略される。 由来は ポルトガル語 における「ホラント」の表記「 Holanda ɔˈlɐ̃dɐ 」が、 戦国時代 に来航した ポルトガル人 宣教師 によってもたらさ. 和蘭 ゆかり ゆかり 大きさ:極小 開花ピーク 2月 出荷時期:2月~3月 ピンク 和蘭 初音 初音 (はつね) 大きさ:小 開花ピーク 2月 出荷時期:11月~4月 グリーン 和蘭 縁 縁 (みどり) 大きさ:極小 開花ピーク 1月 出荷時期:12月~3月 グリーン 和蘭 冬月.
当Webサイトで公開している画像・翻字本文は クリエイティブ・コモンズ 表示 非営利 40 国際 ライセンスの下に提供されています。 営利目的で利用する際には,「国立国語研究所研究図書室資料特別利用規程」に基づいて特別利用の申請をしてください。. 和蘭:おぼろ月25号ポット山野草の苗 ガーデニング・園芸用品の販売サイト。花 野菜 ハーブ バラ 果樹の種苗、鉢やテラコッタ、道具、肥料と土などの通販。豊富な品揃え。栽培ガイド等. 精選版 日本国語大辞典 阿蘭陀・和蘭陀・和蘭の用語解説 1 (Olanda) ヨーロッパの北西部にある立憲君主国で、正式名称はネーデルランド王国(Koninkrijk der Nederlanden)。ライン、マース、スヘルデの三つの川がつくる三角州にあり、国土面積の約四分の一が海面より低い。.
株式会社 和蘭 (ワラン) 創業80年・京都で京焼・清水焼の産地製造卸売業 1937年(昭和12年)の創業以来、皆様のご愛顧に深く感謝しながら京焼・清水焼の産地製造卸売業を中心とし百貨店ならびに小売店・専門店に広く商品を提供させて頂いています。. ブリタニカ国際大百科事典 小項目事典 和蘭風説書の用語解説 江戸時代の鎖国期間中,オランダ船が長崎に入港するごとに幕府に提出した海外情報。原名"Nieuws"。オランダ通詞が翻訳して長崎奉行を通して幕府に提出された。初めオランダは,スペイン,ポルトガルとの貿易競争のなかで. 和蘭「村雨(むらさめ)」 を育てるポイント お届け後、なるべく暖房の効いていない部屋に置くようにしてください。(適温は10~15℃) 暖房が効いていると乾燥し、蕾が咲かずに終わる原因となります。また、涼しい場所の方 が花も長保ちします。.
和蘭 ‘夕霧’ 3号 2~3花茎 花芽付き苗です。 まもなく開花する苗です。陶器鉢にてお送り致します。 花芽のついた状態で発送致しますので、開花までの過程をお楽しみ頂けます。 事業者 向山蘭園 お礼の品ID (Amazon Alexa対応). 和蘭の画像が495枚投稿されています。 GreenSnap(グリーンスナップ) 植物・お花好きが集まるコミュニティ 多肉植物 観葉植物 家庭菜園 受賞作品.

Amazon Co Jp 和蘭西葡 懐中しるこ 50g 12コ入り Food Beverage Alcohol

搜索了一下 竟然有這麼多蘭花成語 與蘭友分享 每日頭條

张李德和兰石 张李德和兰石估价 张李德和兰石高清大图 易拍全球沐春堂宝岛曼波 台湾文物 诗人 字画专场拍品介绍
和蘭 のギャラリー
带结婚环的兰花和兰叶的圆形图案库存例证 插画包括有带结婚环的兰花和兰叶的圆形图案
Oranda Tsuhaku 1 Ubc Library Open Collections

轉風 和蘭嶼交換時間by 王文彥

克洛普 和兰帕德的争吵也是比赛一部分5 3战胜切尔西是完美结果 球头条

日本春兰和兰盆色彩管窥 附图 他山兰事 1 Mp头条
臺灣荷蘭統治時期 维基百科 自由的百科全书

法考外传 出任兰和兰行政经理后 非法本的她一次性通过法考 知乎

草本葉和蘭與芳香精油庫存相片 Freeimages Com

和蘭 大和撫子 ま 一花 しんびすとの蔵 蘭 植物 陶器 鉢

和尚鹦鹉乐乐和兰兰鹦鹉学舌 Youtube

奥茨塞巴德 迪尔哈根费斯和兰德斯特瑞德酒店 住客评分 8 8 10 21最新价格

Unknown Orandajin Shuen No Zu 和蘭人酒宴図 British Museum Ukiyo E Search

和蘭芹15号 Rlouki4bshvnnhb Twitter

南南和兰兰图片 第1页 要无忧健康图库

幸福快乐nba版离奇友妻门鹰王约翰逊和兰多夫互换依依不舍 内饰 巢湖汽车网站

南南和兰兰图片 第1页 要无忧健康图库

广芳园和兰芳园关系是什么 区别在哪里 富加盟网

和蘭豆 Coffee Tea 南船場3丁目11 8 中央区 大阪市中央区 大阪府 Japan Restaurant Reviews Phone Number Yelp

聚和兰园 墨兰 小心衣衣 新浪博客

和蘭陀图片 库存照片和矢量图 Shutterstock

梦幻模拟战 安洁丽娜和兰迪乌斯皮肤怎么样安洁丽娜和兰迪乌斯皮肤一览 九游手机游戏

日本春兰和兰盆色彩管窥 附图 他山兰事 1 Mp头条

荘嘉禾老師示範怎樣畫葉和蘭 Youtube Home Decor Decals Painting Decor

金和兰 金和兰品牌 图片 排行榜 阿里巴巴

科学网 水调歌头和兰生兄 大雪 叶晓明的博文

日本春兰和兰盆色彩管窥 附图 他山兰事 1 Mp头条

隐藏在五星级酒店里的和兰泰式按摩新店开业啦 限时二人同行一人免单 草药

王者荣耀花木兰和兰陵王谁更厉害 花木兰和兰陵

和兰 素材中国sccnn Com
和蘭撫子 太鼓之達人維基 Fandom

一葉蘭也分百合科和蘭科兩類一葉蘭 您知道嗎 每日頭條

和兰香草相似的图片 第1页 一起扣扣网
和蘭實業有限公司 Home Facebook

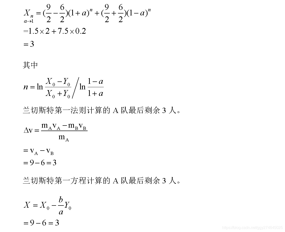
广宇方程和兰切斯特方程的关系 Ggy的博客 Csdn博客

Ranzu 心齋橋 南船場 長堀橋 咖啡專賣店 食べログ 繁體中文

Cf兰和兰新年限定 第1页 一起扣扣网

三亚 苦丁茶和兰贵人 去哪儿网旅游攻略
曙光英雄02 游侠像是娜可露露和兰陵王的结合体

和兰 360百科
:format(jpeg):mode_rgb():quality(90)/discogs-images/R-13158805-1589030700-8030.jpeg.jpg)
平本和樹 和蘭陀坂 1977 Vinyl Discogs

和蘭豆 Picture Of Ranzu Ota Tripadvisor

追羡第336集上 萧孤云在小树林里跟魏无羡和兰曦臣说了萧孤烟之前的往事 Youtube
和蘭 一葉 苗 Buyee Buyee Japanese Proxy Service Buy From Japan Bot Online

Phalaenopsis Stuartiana Jh104 黃文榮 佳和蘭園 台灣蘭花產銷發展協會提供 蝴蝶蘭主題館 農業知識入口網
R7oz4lpqksvv9m

富樂雅居 日本製有田燒香蘭社和蘭陀人長皿長盤 34 5cm Flaya Home Rakuten樂天市場

德蒂拉和蘭尼搶劫了一輛火車線上看 電影德蒂拉和蘭尼搶劫了一輛火車線上看免費 小鴨影音

咦快看那是阿晨和兰典呀 Suouchen Twitter

日本春兰和兰盆色彩管窥 附图 他山兰事 1 Mp头条

Photos At 和蘭堂
虞美人 和兰坡催梅 虞美人 和兰坡催梅 原文 虞美人 和兰坡催梅 翻译 虞美人 和兰坡催梅 赏析 张榘作品
上海和兰苑法拍房 和兰苑房价 智拍网上海法拍房

丝绸之路 兰州 省博物馆和兰山公园 18 8 7 8 8 上路吧
虞美人其一和兰坡催梅 虞美人其一和兰坡催梅原文 虞美人其一和兰坡催梅翻译 虞美人其一和兰坡催梅赏析

野生兰花和兰园的兰花有什么不一样 怎么区分 养花之家

Flickriver Hiro Morison Tokyo Japan S Photos ged With 和蘭

薔薇和蘭水盤roses With Dutch Basin By Shintaro Yamashita On Artnet

Ginzaranzu 銀座 咖啡專賣店 食べログ 繁體中文

日本春兰和兰盆色彩管窥 附图 他山兰事 1 Mp头条

微博搜索

西洋菜 配上牛排 肉装饰 水芹菜 和兰芥子 桌子木 旧料台 戴匹配 高清图片下载 素材id 餐饮美食 正版图片 卖图宝

带兰的女孩子名字高雅的和兰有关的名字 十二星座网

室雅人和兰香满溢著名书法家古景四尺横幅书法作品 室雅兰香 易从网 触屏版
野生多菌落玫瑰丛 又称七姐妹 婴儿 日本和兰布勒玫瑰 春夏开花背景库存图片 图片包括有野生多菌落玫瑰丛 又称七姐妹 婴儿 日本和兰布勒玫瑰 春夏开花背景
花木兰和兰陵王互撩 这恩爱秀的 搞笑 蛋蛋赞
士兵突击 前传 康洪雷和兰晓龙11年后再携手 冬与狮 将拍 士兵突击 冬与狮 兰晓龙 康洪雷 我的团长我的团 钢七连
花園裡的紅色尾花和蘭花盆照片檔及更多傳統園林照片 Istock
加利福尼亚海岸空中托兰斯海滩和兰乔帕洛斯verdes 库存图片 图片包括有加利福尼亚海岸空中托兰斯海滩和兰乔帕洛斯verdes

Amazon Com 和蘭薬鏡 3巻 3 国会図書館コレクション Japanese Edition Ebook 宇田川 榛斎 Kindle Store

Pic03 桂花紅烏龍mojito有薄荷清新和蘭姆酒獨特的甘蔗香甜 做出一杯屬於亞熱帶台灣的台式mojito 行遍天下旅遊網

松藝和蘭市的蝴蝶效應 國蘭 隨意窩xuite日誌

日本和藍瓷器 Pchome 24h購物

煮洋葱 荷包蛋和兰开夏芝士食谱

大千本槍 和蘭撫子 Hanatomosan Flickr
Mojito鸡尾酒冰棍儿用薄菏 石灰和兰姆酒库存图片 图片包括有mojito鸡尾酒冰棍儿用薄菏 石灰和兰姆酒

聚和兰园 墨兰 小心衣衣 新浪博客

和蘭水盤と薔薇roses In Water Feature By Shintaro Yamashita On Artnet

約克家族和蘭開斯特家族 白紅兩朵相愛相殺的玫瑰 蘭開斯特約克家族 約克家族 歷史 欣欣網

松藝和蘭市的蝴蝶效應 國蘭 隨意窩xuite日誌

好久没和兰友分享兰草咯 好久没和兰友分享兰草咯怎么养 好久没和兰友分享兰草咯的养护方法 花鸟园
慶和蘭園 Home Facebook

上海和兰苑小区 和兰苑详细信息 二手房 租房 小区顾问 上海链家

和兰香草相似的图片 第1页 一起扣扣网

兰友会 一名兰和兰律师的年终总结 知乎

養蘭宜忌 蘭農和蘭販 每日頭條

好久没和兰友分享兰草咯 好久没和兰友分享兰草咯怎么养 好久没和兰友分享兰草咯的养护方法 花鸟园

和蘭 初音2 5号ポット 山野草の苗 園芸ネット 本店 通販 Engei Net

刘力 司凤和兰兰结婚了 司凤为璇玑点燃了鸿蒙熔炉 老影院

和蘭水盤と薔薇roses In Europe Bowl By Shintaro Yamashita On Artnet

张大仙公布 玩打野你可以不会李白和兰陵王 不会他 恭喜你 留在钻石活该 楠木轩
法拉利和兰博区别在哪 坐进法拉利的驾驶位 女朋友都说霸气

和蘭館 Picture Of Misumi Nishiko Park Uki Tripadvisor

日本春兰和兰盆色彩管窥 附图 他山兰事 1 Mp头条

风和兰香长鸡雏镜片设色纸本by Fang Guoxing On Artnet

Ranzu Kamata Coffee Shoppe Tabelog
花木兰和兰陵王情侣头像 新闻 蛋蛋赞

杨戬前期被马超和兰陵王压 已经记到小本本上面 新浪新闻



